导读:我们的《在弱相互作用领域之外,宇称守恒定律就不成立》[1]一文,对量子力学中的两个实际例证作了认真考察,进而对宇称守恒定律进行了明确的证伪。在该文结尾处,有如下尖锐的发问:所谓宇称守恒定律,究竟是否确实存在?人们在把它推导出来的时候,有没有出错?如果有,到底错在哪里?还有我们当真的承诺:在下一篇文章中,将给出自己的回答。

在本文中,我们依诺给出了答案。我们发现:至少有两种得到物理学界公认的宇称守恒定律之典型证明,是有明显谬误的,是站不住脚的。从而我们有理由认为:宇称守恒定律,恐怕不是什么局部不成立的问题,而是很可能压根儿就并不存在。

无疑,我们的上述发现,仍然必须依重对公式的运用。对我们的推理过程来说,由式(3)至式(17)的15个有点显得深奥的公式,是不可或缺的。好在我们的下一篇文章,就只有两个用来示意的简单式子了。我们在下一篇文章中,将用科普文章的标配笔触,讲述我们对物理学史上很有名的之谜的看法,评述68年前物理学家对之谜的艰辛破解,给出我们的独特破解之道。文章的标题已然觅得:无谜可言的之谜。

著名的宇称守恒定律是如何得到的?它是被物理学家用“严格的”推导过程证明出来的。我们在众多量子力学专著和教科书中,找到了两种典型的证明;并通过对上述两种证明的用心考察,发现它们均存在明显的谬误,都是站不住脚的。2009年9月,我们首次将上述发现公之于众[2],并于2022年5月在自己的专著《物理学分立对称性新论》[3]中作了重申。

在推介我们的上述发现之前,仍有必要将量子力学教科书中的宇称守恒定律转述如下:

如果多个粒子组成的体系的哈密顿算符不是时间t的显函数,并在宇称变换下不变,即有

,                    (1)

则体系的定态波函数就具有确定的宇称:

,                    (2)

并且,这种由宇称量子数所表征的宇称不随时间而改变,即宇称守恒。其中,量子数+1表征波函数的偶宇称,量子数-1表征波函数的奇宇称。

现在,就让我们来看看宇称守恒定律的两种典型证明。

   一、第一种典型证明与我们的点评

在《时空对称性和守恒定律》[4]这部专著中,专门列有一节是谈宇称守恒定律的,并且详细给出了该定律的证明。这里,我们将书中的证明过程转述如下:

考虑到微观粒子的内禀宇称,具有确定角动量的微观粒子的状态可用下述波函数来描述:

.                      (3)

于是,我们有宇称变换后的波函数

,                        (4)

式中为总宇称算符,为粒子的空间宇称,它是粒子态的宇称和内禀宇称的乘积。

波函数满足薛定谔方程

.                         (5)

将上式两边乘以(-1)P,得到

,

即有

.                  (6)

算符与时间无关,所以是可对易的,于是就有

,  引用式(5)即有

.                      (7)

式(7)表明是可对易的

.                               (8)

而只要力学量的算符与哈密顿算符是可对易的,这个力学量就是一个守恒量。因此,我们又得到了一条守恒定律,即宇称守恒定律。

这条定律可作如下表述:在没有外来影响的条件下,量子体系内部不论其运动如何复杂,不论发生如何剧烈的变化,其宇称是不变的,原来奇者仍然为奇,原来偶者仍然为偶。

不难发现,上述证明过程的谬误是相当明显的。

我们知道,具有确定角动量的微观粒子态是角动量算符的本征态,它是有确定宇称的态,即当量子数l为偶数时,它为偶宇称态;当l为奇数时,它为奇宇称态。对于这样一个特定的定态波函数,当人们得到式(7)后,是不能进而推得式(8)的。只有对满足式(1)前提的任意定态波函数式(7)成立时,我们才能说和是可对易的,才能有式(8)的成立。

因此,文献[4]所得到的宇称守恒定律是虚妄的。

我们再来看宇称守恒定律的另一种典型证明,它载于《量子力学》[5] 这本教科书中。

二、第二种典型证明

设体系的哈密顿算符在宇称变换后保持不变:

.                  (9)

对于任意(定态)波函数,我们有

=.                                   (10)

所以

.                             (11)

这表示宇称是运动积分,即宇称算符对时间的全微商等于零:

,                            (12)

必定有完全的共同本征函数系,因此体系的能量本征函数必定有确定的宇称,并且不随时间而改变。这就是量子力学中的宇称守恒定律。

三、我们对第二种典型证明的点评

考察这一证明过程,我们发现,它注意到了算符可对易的定义,没有像文献[4]那样采用特定的波函数,而是采用了任意波函数。然而,该证明过程存在两处明显的谬误,它们均发生在式 (10)之中。

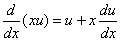
第一处谬误为:当我们写下时,意味着必须先由哈密顿算符作用于得到一个新的函数,然后宇称算符再对新的函数施加作用。而写下,则意味着先由作用于得到一个新的函数后,再由对新的函数施加作用。当为任意波函数而两种不同顺序的作用结果相同时,我们就说算符是可对易的。然而,文献[5]给出的证明,却在式(10)中居然由对施加作用——这种做法肯定是不正确的。

试举一例说明如下。设有算符x和算符,它们按如下顺序作用于任意函数:先由x作用,再由作用。正确的运算是

.                           (13)

如果先由作用于x,就将得到错误的结果:

.                             (14)

显然,文献[5]给出的运算是错误的,因而它得到的结论必将是站不住脚的。

第二处谬误为:即便先对发生作用,也不可能得到下式

,                      (15)

而只能得到下式

 =.                      (16)

因此也就无法得到证明者很想看到的

                         (17)

之结果了。

由此可知,文献[5]与文献[4]一样,所得到的宇称守恒定律也是虚妄的。

我们真诚期待读者评述我们的上述纠错是否能够成立,并期待读者提供我们尚不了解的第三、第四种证明。现在,我们还不能下断言。不过,通过考察上述两种典型的证明,我们目前有理由认为:宇称守恒定律,恐怕不是什么局部不成立的问题,而是很可能压根儿就并不存在。

我们的下一篇文章,将讲述我们对物理学史上很有名的之谜的看法,评述68年前物理学家对之谜的艰辛破解,给出我们的独特破解之道。文章的标题已然觅得——无谜可言的之谜。

2025年11月30日 初稿于北京家中

2025年12月05日 定稿于北京家中

参考文献:

[1]江棋生. 在弱相互作用的领域之外,宇称守恒定律就不成立. 2025年11月29日发布于微信公众号“阿斗凿墙”、《光传媒》和《民主中国》网刊.

[2]江棋生. 质疑量子力学中的宇称守恒定律[OL]. 序号1512,自然科学—物理学,中国预印本服务系统,国家科技图书文献中心网,2010.09.08.

在网上搜索一下,就能见到这篇文章;或去我的《科学网》博客,也能找到这篇文章.

[3]江棋生. 物理学分立对称性新论[M]. 武汉:汉斯出版社,2022:136-140.

汉斯出版社关于此书的荐读网页:

https://mp.weixin.qq.com/s/2rlTYJejUuWzWJLNZV7_aQ

[4]卓崇培,刘文杰. 时空对称性和守恒定律[M]. 北京:高等教育出版社,1982:161-163.

[5]周世勋. 量子力学[M]. 上海:上海科学技术出版社,1961:137-138.

 

(文章仅代表作者的观点和立场 )

Search
光传媒 Youtube
  • 光传媒顾问团 >>>
    鲍彤  蔡霞  陈光诚  陈奎德  程凯  慈诚嘉措  冯崇义  傅希秋  胡平  金钟  李进进   鲁难  罗胜春 茅于轼  潘永忠  宋永毅  苏晓康  王丹  王军涛  王志勇  席海明  张伯笠  张伟国(按姓氏笔画排列)
    光传媒专栏作家 >>>
    鲍彤 北明 蔡霞 蔡慎坤 程凯  陈奎德 陈光诚 陈建刚 茨仁卓嘎 丁一夫 傅希秋 冯崇义 高瑜 高胜寒 郭于华 古风 胡平 金钟 李江琳 林保华 潘永忠 苏晓康 宋永毅 田牧 王志勇 王安娜 严家其 郑义 张杰(按姓氏笔划排列)
    最新汇总 >>>
  • notfree
  • 新英雄传·1949年以来民主义士专辑>>>